二叉树
DLR–前序遍历(根在前,从左往右,一棵树的根永远在左子树前面,左子树又永远在右子树前面 )
LDR–中序遍历(根在中,从左往右,一棵树的左子树永远在根前面,根永远在右子树前面)
LRD–后序遍历(根在后,从左往右,一棵树的左子树永远在右子树前面,右子树永远在根前面)
前序遍历

ABDECF
#include <stdio.h>
#include <stdlib.h>
typedef char E;//元素类型
struct TreeNode {
E element;//节点元素
struct TreeNode *left; //左子树
struct TreeNode *right; //右子树
};
typedef struct TreeNode *Tree;//二叉树节点
void preorder(Tree t) { //前序遍历
if (t == NULL) {//空树
return;//返回
}
printf("%c", t->element);//访问根节点
preorder(t->left);//访问左子树
preorder(t->right);//访问右子树
}
int main(void) {
Tree a = (Tree) malloc(sizeof(struct TreeNode));
Tree b = (Tree) malloc(sizeof(struct TreeNode));
Tree c = (Tree) malloc(sizeof(struct TreeNode));
Tree d = (Tree) malloc(sizeof(struct TreeNode));
Tree e = (Tree) malloc(sizeof(struct TreeNode));
Tree f = (Tree) malloc(sizeof(struct TreeNode));
a->left = b;
a->right = c;
b->left = d;
b->right = e;
c->left = NULL;
c->right = f;
d->left = NULL;
d->right = NULL;
e->left = NULL;
e->right = NULL;
f->left = NULL;
f->right = NULL;
a->element = 'A';
b->element = 'B';
c->element = 'C';
d->element = 'D';
e->element = 'E';
f->element = 'F';
preorder(a);
}
中序遍历
DBEAC
#include <stdio.h>
#include <stdlib.h>
typedef char E;//元素类型
struct TreeNode {
E element;//节点元素
struct TreeNode *left; //左子树
struct TreeNode *right; //右子树
};
void inorder(struct TreeNode *t) { //中序遍历
if (t == NULL) {//空树
return;//返回
}
inorder(t->left);//访问左子树
printf("%c", t->element);//访问根节点
inorder(t->right);//访问右子树
}
typedef struct TreeNode *Tree;//二叉树节点
int main(void) {
Tree a = (Tree) malloc(sizeof(struct TreeNode));
Tree b = (Tree) malloc(sizeof(struct TreeNode));
Tree c = (Tree) malloc(sizeof(struct TreeNode));
Tree d = (Tree) malloc(sizeof(struct TreeNode));
Tree e = (Tree) malloc(sizeof(struct TreeNode));
a->element = 'A';
b->element = 'B';
c->element = 'C';
d->element = 'D';
e->element = 'E';
a->left = b;
a->right = c;
b->left = d;
b->right = e;
c->left = NULL;
c->right = NULL;
d->left = NULL;
d->right = NULL;
e->left = NULL;
e->right = NULL;
inorder(a);
return 0;
}
后序遍历
DEBCA
#include <stdio.h>
#include <stdlib.h>
typedef char E;//元素类型
struct TreeNode {
E element;//节点元素
struct TreeNode *left; //左子树
struct TreeNode *right; //右子树
};
typedef struct TreeNode *Tree;//二叉树节点
void backorder(Tree root){
if(root == NULL) return;
backorder(root->left);
backorder(root->right);
printf("%c", root->element);
}
int main(void) {
Tree a = (Tree) malloc(sizeof(struct TreeNode));
Tree b = (Tree) malloc(sizeof(struct TreeNode));
Tree c = (Tree) malloc(sizeof(struct TreeNode));
Tree d = (Tree) malloc(sizeof(struct TreeNode));
Tree e = (Tree) malloc(sizeof(struct TreeNode));
a->element= 'A';
b->element= 'B';
c->element= 'C';
d->element= 'D';
e->element = 'E';
a->left = b;
a->right = c;
b->left = d;
b->right = e;
c->left = NULL;
c->right = NULL;
d->left = NULL;
d->right = NULL;
e->left = NULL;
e->right = NULL;
backorder(a);
}
层序遍历
#include <stdio.h>
#include <stdlib.h>
typedef char E; // 元素类型
struct TreeNode
{
int element;
struct TreeNode *left;
struct TreeNode *right;
};
typedef struct TreeNode *Tree; // 二叉树节点
// 层序遍历
void levelorder(Tree t)
{
if (t == NULL)
{ // 空树
return; // 返回
}
Tree queue[100]; // 队列
int front = 0; // 队头
int rear = 0; // 队尾
queue[rear++] = t; // 根节点入队
while (front != rear)
{ // 队列不为空
Tree p = queue[front++]; // 队头元素出队
printf("%d", p->element); // 访问队头元素
if (p->left != NULL)
{ // 左子树不为空
queue[rear++] = p->left; // 左子树入队
}
if (p->right != NULL)
{ // 右子树不为空
queue[rear++] = p->right; // 右子树入队
}
}
}
int main(void)
{
Tree a = (Tree)malloc(sizeof(struct TreeNode));
Tree b = (Tree)malloc(sizeof(struct TreeNode));
Tree c = (Tree)malloc(sizeof(struct TreeNode));
Tree d = (Tree)malloc(sizeof(struct TreeNode));
Tree e = (Tree)malloc(sizeof(struct TreeNode));
a->element = 1;
b->element = 2;
c->element = 3;
d->element = 4;
e->element = 5;
a->left = b;
a->right = c;
b->left = d;
b->right = e;
c->left = NULL;
c->right = NULL;
d->left = NULL;
d->right = NULL;
e->left = NULL;
e->right = NULL;
levelorder(a);
return 0;
}
java 实现
TreeNode.java
package org.example;
public class TreeNode<E> {
public E element;
public TreeNode<E> left, right;
public TreeNode(E element){
this.element = element;
}
}
Main.java
package org.example;
public class Main {
public static void main(String[] args) {
TreeNode<Character> a = new TreeNode<>('A');
TreeNode<Character> b = new TreeNode<>('B');
TreeNode<Character> c = new TreeNode<>('C');
TreeNode<Character> d = new TreeNode<>('D');
TreeNode<Character> e = new TreeNode<>('E');
TreeNode<Character> f = new TreeNode<>('F');
a.left = b;
a.right = c;
b.left = d;
b.right = e;
c.right = f;
System.out.println("----------------前序遍历(先打印根节点元素,然后左子树,最后右子树)---------------------");
preOrder(a);
System.out.println();
System.out.println("----------------中序遍历(先左子树,然后打印根节点元素,最后右子树)---------------------");
inOrder(a);
System.out.println();
System.out.println("----------------后序遍历(先左子树,然后右子树,最后打印根节点)---------------------");
postOrder(a);
System.out.println();
System.out.println("----------------层序遍历---------------------");
levelOrder(a);
}
private static <T> void preOrder(TreeNode<T> root) { //前序遍历
if (root == null) return;
System.out.print(root.element + " ");
preOrder(root.left); //先走左边
preOrder(root.right); //再走右边
}
private static <T> void inOrder(TreeNode<T> root) { //中序遍历
if (root == null) return;
inOrder(root.left);
System.out.print(root.element + " ");
inOrder(root.right);
}
private static <T> void postOrder(TreeNode<T> root) {//后序遍历
if (root == null) return;
postOrder(root.left);
postOrder(root.right);
System.out.print(root.element + " ");
}
private static <T> void levelOrder(TreeNode<T> root) {//创建一个队列
LinkedQueue<TreeNode<T>> queue = new LinkedQueue<>();
queue.offer(root); //将根结点丢进队列
while(!queue.isEmpty()) { ////如果队列不为空,就一直不断地取出来
TreeNode<T> node = queue.poll();
System.out.print(node.element + " ");
if(node.left != null) queue.offer(node.left);
if(node.right != null) queue.offer(node.right);
}
}
}
Golang实现
package main
import "fmt"
type TreeNode struct {
Val int
Left *TreeNode
Right *TreeNode
}
func preOrderTraversal(root *TreeNode) []int {
var result []int
var traverse func(node *TreeNode)
traverse = func(node *TreeNode) {
if node == nil {
return
}
result = append(result, node.Val)
traverse(node.Left)
traverse(node.Right)
}
traverse(root)
return result
}
func inOrderTraversal(root *TreeNode) []int {
var result []int
var traverse func(node *TreeNode)
traverse = func(node *TreeNode) {
if node == nil {
return
}
traverse(node.Left)
result = append(result, node.Val)
traverse(node.Right)
}
traverse(root)
return result
}
func postOrderTraversal(root *TreeNode) []int {
var result []int
var traverse func(node *TreeNode)
traverse = func(node *TreeNode) {
if node == nil {
return
}
traverse(node.Left)
traverse(node.Right)
result = append(result, node.Val)
}
traverse(root)
return result
}
func levelOrderTraversal(root *TreeNode) [][]int {
var result [][]int
if root == nil {
return result
}
var queue []*TreeNode = []*TreeNode{root}
for len(queue) > 0 {
levelSize := len(queue)
currentLevel := make([]int, 0, levelSize)
for i := 0; i < levelSize; i++ {
node := queue[0]
queue = queue[1:]
currentLevel = append(currentLevel, node.Val)
if node.Left != nil {
queue = append(queue, node.Left)
}
if node.Right != nil {
queue = append(queue, node.Right)
}
}
result = append(result, currentLevel)
}
return result
}
func main() {
// 构建二叉树
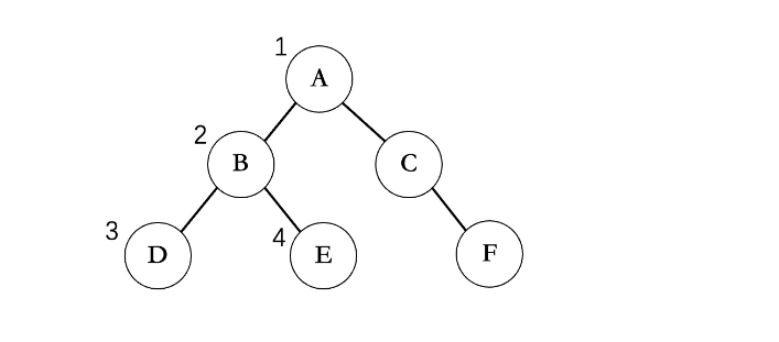
// 1
// / \
// 2 3
// / \
// 4 5
root := &TreeNode{Val: 1}
root.Left = &TreeNode{Val: 2}
root.Right = &TreeNode{Val: 3}
root.Left.Left = &TreeNode{Val: 4}
root.Left.Right = &TreeNode{Val: 5}
// 前序遍历
fmt.Println("Pre-order Traversal:", preOrderTraversal(root))
// 输出: [1 2 4 5 3]
// 中序遍历
fmt.Println("In-order Traversal:", inOrderTraversal(root))
// 输出: [4 2 5 1 3]
// 后序遍历
fmt.Println("Post-order Traversal:", postOrderTraversal(root))
// 输出: [4 5 2 3 1]
// 层序遍历
fmt.Println("Level-order Traversal:", levelOrderTraversal(root))
// 输出: [[1] [2 3] [4 5]]
}